首 页   实验室概况   科学研究   研究队伍   研究生培养   开放合作   支撑平台   English
 
新闻公告
通知公告
新闻动态
科研进展
学术报告
头条新闻
友情链接
 
 
  现在位置:首页 > 停用 > 遗传资源与进化国家重点实验室 > 新闻公告 > 科研进展
宿兵实验室与华大基因合作首次发表中国猕猴全基因组序列多态数据
2011-07-07 | 作者: | 来源: 比较基因组学研究组 |【小  大】【打印】【关闭】

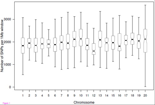
猕猴是人类的近亲,也是在研究中最广泛使用的非人灵长类模式动物。虽然猕猴在生物学和医学方面的应用已经有很长的时间,但人们对猕猴基因组序列多态性的了解却非常有限。昆明动物研究所宿兵实验室(博士研究生张雁峰等)和华大基因合作,采用二代测序的方法对中国猕猴进行了全基因组序列分析。测序深度为猕猴基因组11.56倍的覆盖率。通过和国外已测的印度猕猴基因组序列的比较,他们共发现了550万个单核苷酸序列多态性位点(SNP),其中294万个SNP是中国猕猴基因组中的杂合多态性,256万个SNP是中国猕猴和印度猕猴间的差异位点。同时,他们还发现了12万多个的基因组结构变异(Structural variation, SV)。

这项工作是首次对猕猴全基因组序列多态性的解析,所报道的海量序列多态数据将为以猕猴为对象的生物学和临床前医学研究提供具有重要价值的数据库。相关研究结果发表于基因组学的知名刊物《Genome Biology》(http://genomebiology.com/2011/12/7/R63/abstract)。

 
地址:云南省昆明市教场东路32号 邮编:650223  联系电话:0871-5199125